All
Search
Images
Videos
Shorts
Maps
News
More
Shopping
Flights
Travel
Notebook
Report an inappropriate content
Please select one of the options below.
Not Relevant
Offensive
Adult
Child Sexual Abuse
Length
All
Short (less than 5 minutes)
Medium (5-20 minutes)
Long (more than 20 minutes)
Date
All
Past 24 hours
Past week
Past month
Past year
Resolution
All
Lower than 360p
360p or higher
480p or higher
720p or higher
1080p or higher
Source
All
Dailymotion
Vimeo
Metacafe
Hulu
VEVO
Myspace
MTV
CBS
Fox
CNN
MSN
Price
All
Free
Paid
Clear filters
SafeSearch:
Moderate
Strict
Moderate (default)
Off
Filter
teachoo.com
Find derivative by first principle f(x) = sin x + cos x [Video]
Example 20Find the derivative of f(x) from the first principle, where f(x) is(i) sin x cos xGiven f (x) = sin x cos xWe need to find Derivative of f(x)We know that f’(x) = lim┬(h→0) 𝑓〖(𝑥 ℎ) − 𝑓(𝑥)〗/ℎ Here, f (x) = sin x cos x f (x h) = sin (x h) cos
Dec 16, 2024
Shorts
0:28
1.3K views
The #1 Skill To Learn In Your 20s (Not Coding) @airwallex
VENTROVA
0:10
2.3K views
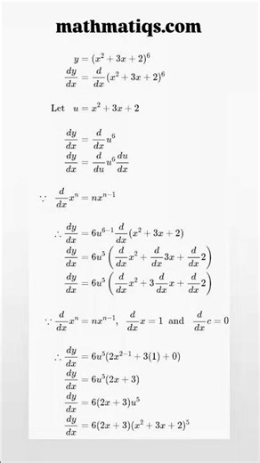
Chain Rule of Differentiation || Derivative of (x^2+3x+2)^6 #shorts #maths #mathmatiqs
Muhammad Irshad
Derivative of X^x Explained
33:50
Antiderivatives
YouTube
The Organic Chemistry Tutor
1.5M views
Apr 21, 2021
Derivative of f(x) = Square Root of X
YouTube
Cusack Prep
50.2K views
Jun 25, 2018
14:30
Derivatives... How? (NancyPi)
YouTube
NancyPi
1.5M views
May 16, 2018
Top videos
Using first principle find the derivative of the function f(x)=... | Filo
askfilo.com
5.2K views
Aug 3, 2024
11:11
Product Rule For Derivatives
YouTube
The Organic Chemistry Tutor
1.6M views
Feb 25, 2018
How to Find the Derivative of a Function Using the Limit Definition of a Derivative | Calculus | Study.com
study.com
Jun 17, 2021
Derivative Rules for X^x
13:09
L'hopital's rule
YouTube
The Organic Chemistry Tutor
2.9M views
Mar 5, 2018
14:34
Implicit Differentiation
YouTube
The Organic Chemistry Tutor
1.7M views
Feb 26, 2018
10:51
Higher Order Derivatives
YouTube
The Organic Chemistry Tutor
852.9K views
Feb 25, 2018
Using first principle find the derivative of the function f(x)=... |
…
5.2K views
Aug 3, 2024
askfilo.com
11:11
Product Rule For Derivatives
1.6M views
Feb 25, 2018
YouTube
The Organic Chemistry Tutor
How to Find the Derivative of a Function Using the Limit Definitio
…
Jun 17, 2021
study.com
20:14
Finding the Derivative from First Principles - AS Level/Year 12 Math
…
34.7K views
Nov 25, 2022
YouTube
mathonify
20:44
Basic Differentiation Rules For Derivatives
1.6M views
Nov 21, 2018
YouTube
The Organic Chemistry Tutor
2:18
Derivative of x^2 from First Principles
24.2K views
Mar 18, 2020
YouTube
Cowan Academy
14:34
Implicit Differentiation
1.7M views
Feb 26, 2018
YouTube
The Organic Chemistry Tutor
15:30
Derivatives of Radical Functions
1.1M views
Feb 26, 2018
YouTube
The Organic Chemistry Tutor
23:31
Definition of the Derivative
2.9M views
Feb 22, 2018
YouTube
The Organic Chemistry Tutor
6:36
📚 How to find the derivative by the delta method (Question 2)
48.3K views
Jan 17, 2018
YouTube
Study Force
54:18
Concavity, Inflection Points, Increasing Decreasing, First & Sec
…
1.7M views
Sep 29, 2016
YouTube
The Organic Chemistry Tutor
14:30
Derivatives... How? (NancyPi)
1.5M views
May 16, 2018
YouTube
NancyPi
7:08
Derivatives by First Principles - Exact Rates of Change
3.4K views
Mar 12, 2014
YouTube
MasterWuMathematics
4:45
Derivative Of Sin x Using First Principle | How to find Derivative o
…
31.2K views
Jun 17, 2022
YouTube
Enjoy Math
5:47
Derivative of f(x) = 1/x^2 using First Principles
7.6K views
May 18, 2023
YouTube
Mr. X
5:22
Derivative of tan(x) from first principles
86.2K views
Mar 21, 2018
YouTube
Cowan Academy
Misc 1 - Find derivative of f(x) = sin (x 1) from first principle
Dec 16, 2024
teachoo.com
How to get Derivatives using First Principles: Calculus
196.5K views
Jun 11, 2014
YouTube
Mindset
Calculus 2.1 The Derivative Function - Derivatives from First Principles
37.9K views
Jan 5, 2020
YouTube
Ms Havrot's Canadian University Math Prerequi…
11:45
Implicit Differentiation
1.5M views
Mar 22, 2018
YouTube
Professor Dave Explains
52:51
Calculus 1 - Derivatives
4.5M views
Jul 9, 2018
YouTube
The Organic Chemistry Tutor
1:00:33
Partial Derivatives - Multivariable Calculus
2.5M views
May 19, 2017
YouTube
The Organic Chemistry Tutor
12:37
First Derivative Test
698.1K views
Mar 4, 2018
YouTube
The Organic Chemistry Tutor
11:55
Quotient Rule For Derivatives
1.4M views
Sep 1, 2018
YouTube
The Organic Chemistry Tutor
5:27
Derivatives of Trigonometric Functions
834.9K views
Feb 24, 2018
YouTube
The Organic Chemistry Tutor
18:40
Chain Rule For Finding Derivatives
4.6M views
May 11, 2017
YouTube
The Organic Chemistry Tutor
12:03
Derivatives of Exponential Functions
2.4M views
Feb 27, 2018
YouTube
The Organic Chemistry Tutor
36:22
Understand Calculus in 35 Minutes
5.2M views
Sep 10, 2018
YouTube
The Organic Chemistry Tutor
5:36
Differentiate sin2x from First Principles
48.9K views
Jul 28, 2019
YouTube
Maths Academy
See more videos
More like this
Feedback